烟气流量计
发表时间:2024-09-13 15:47:03

产品名称:烟气流量计
产品特点:佳美仪表集团(www.jiameiyb.com)烟气流量计厂家,销售热线:0550-7541668
烟气流量计的详细资料:
一、结构及工作原理
1、结构
烟气流量计主要由测量管(外壳)、电容力传感器(含阻流元件)、积算显示和输出部分组成。根据不同的介质和工况,须选用相适应的电容力传感器,因此,用户提供准确的计量对象及参数,厂家选用合适的的电容力传感器是产品能否计量准确的关键。
二、工作原理其结构如右(图1):
当介质在测量管中流动时,因其自身的动能通过阻流件(靶片)时而产生的压差,并对阻流件有一作用力,其作用力的大小与介质流速的平方成正比。阻流件(靶片)接受的作用力F,经刚性连接的传递件(测杆)传至电容力传感器,电容力传感器产生电压信号输出。
由此,此电压信号经前置放大、AD 转换及计算机处理后,即可获得相应的瞬时流量和累积总量,其工作原理见示意(图2):

三、技术参数
被测介质 | 液体;气体;蒸汽、烟气 | |||||
公称直径 | 法兰式15~500mm | 夹装式15~500mm | 插入式65~3000mm | |||
公称压力 | 0.6~42MPa | 0.6~42MPa | 0.6~42MPa | |||
介质温度 | -200℃~+700℃或更高温度 | |||||
精确度 | ±0.2% | ±0.5% | ±1.0% | ±1.5% | ||
范围度 | 1:3(液体) | 1:5(液体、气体) | 1:10(液体、气体) | 1:10(蒸汽) | ||
补偿形式 | 温度补偿;压力补偿 | |||||
重复性 | 0.05%~0.08% | |||||
供电电源 | 机内自备锂电池(3.6V);外供电源24VDC | |||||
输出形式 | 现场显示;4~20mA 二线制;脉冲0~5V;RS485/RS232;GPRS 无线远传 | |||||
测量管材料 | 碳钢;不锈钢;亦可按用户要求协商提供 | |||||
防爆标志 | 本安型(ExiaIICT4); 隔爆型(ExdIICT4) | |||||
防护等级 | IP65;IP67 | |||||
法兰规格 | 流量计连接法兰规格执行GB/T 系列标准,也可以根据用户要求特殊加工。 | |||||
四、流量计运行时示屏显示内容
流量计显示屏为液晶显示屏,其显示内容及位置见(图3)

流量计检定时显示屏显示内容
流量计处于检定状态时,显示屏可显示流量系数、温度系数以及流量、温度传感器低点值系数以及低点温度飘移补偿系数,满量程温度补偿系数,其具体显示内容及含义详见《参数设置及保存方法》。
五、烟气流量计的分类
烟气流量计的关键技术是力的转换方式,即传感器的结构形式。经过几十年的发展进步,其类型已多种多样。不同的厂商有不同分类方法,目前尚无统一标准规定。为便于描述和统一认识,本文从两个方面对烟气流量计按结构和信号转换形式进行了分类,如图1所示。

按结构形式分为:轴封膜片结构型;挠性管结构型;扭力管结构型和差压靶结构型。
按信号转换形式分为:力-气压转换型,称为气动烟气流量计;力-位移-电压转换型、力-应变-电压转换型、力-扭距-电压转换型,此三种转换形式都称为电动烟气流量计;另外还有力-差压转换型,称为差压烟气流量计。
无论何种结构形式,烟气流量计都由力产生装置(靶片和测量管)、力转换装置和信号处理单元(包括显示部分)三大部分组成。
5.1轴封膜片气动烟气流量计
轴封膜片气动式流量计是一种力-气压转换型的流量计,结构如图2所示,其工作过程是:杠杆在靶力的作用下绕轴封膜片转动,改变喷嘴的出气间隙,从而改变气动放大单元的输入压力,终改变输出压力,使输出压力随着靶力的变化而变化。调试时,通过低点调整机构来调整喷嘴的初始位置,以设定低点;通过改变满量程调整机构的位置来调整喷嘴的出气间隙,也可以通过改变靶片的大小,使不同的流量产生相同的靶力来调整满量程。

其原因是:由于结构上的问题,导致该流量计的低点稳定性较差、灵敏度低、量程范围窄、耐压能力低、调试繁琐,而且安装现场须提供标准气源,相关设备投入大、维护成本高。但在一些特殊的地方,如防爆要求严格、老设备改造等场合还经常可以见到该类型流量计。
5.2轴封膜片位移烟气流量计
轴封膜片位移烟气流量计是一种力-位移-电压转换型的流量计,其结构如图3所示。其工作过程是:杠杆在靶力的作用下绕轴封膜片转动,通过矢量机构带动差动变压器中的铁芯移动,改变差动变压器的输出电压,该电压送电器单元处理后,输出与流量相关的电流信号。调试时,通过低点调整机构,设定铁芯的初始位值,以设定低点;通过满量程调整机构改变矢量机构的角度,来设定靶力达到大时铁芯的移动距离;也可以通过改变靶片的大小,使不同的流量产生相同的靶力来设定满量程。

上述结构是烟气流量计在七八十年代的主要结构形式,而到90年代初期已基本不。由于结构复杂、调试困难、稳定性很差、易受到振动干扰,测量精度和灵敏度低、量程范围窄、耐压能力低,一度导致烟气流量计的市场萎缩殆尽。至今仍有人对烟气流量计抱有不良印象,就是这种结构造成的。
5.3轴封膜片应变烟气流量计
轴封膜片应变烟气流量计是一种力-应变-电压转换类型的流量计,其结构如图4所示。其工作过程是:靶力通过杠杆(轴封膜片为支点)传递到弹性体,对弹性体产生弯矩作用,引起弹性体弯曲变形,导致由四个应变计组成的电桥失去平衡,产生输出,该输出经电器单元处理,输出与流量相关的电流信号。调试时,只需调整电器单元的两个电位器,就可以完成低点和满量程的设置。此外,该结构需另设静压调整装置,以消除静压漂移。

上述结构是90年代中期发展起来的,在力的转换方式上已经摒弃了以往机械的模式,它采用的是以电子技术为基础、以应变测量为手段的测力方式,测量精度大为提高。由于电子技术的广泛使用,使流量计的结构大为简化,可靠性提高,调试简单,制造成本和维护费用明显降低,使一度萎靡的烟气流量计市场重现生机。
5.4挠性管烟气流量计
挠性管烟气流量计也是一种力-应变-电压转换型的流量计,其结构如图5所示。其工作过程是:靶力通过杠杆传递到挠性管上,对挠性管产生弯矩作用,引起挠性管弯曲变形,导致由四个应变计组成的电桥失去平衡,产生输出,该输出经电器单元处理,输出与流量相关的电流信号。其调试方式与轴封膜片应变烟气流量计基本相同,只需调整电器单元的两个电位器来完成低点和满量程的设置,但不需要静压调整装置。

该结构是轴封膜片应变烟气流量计的改进型,它将前者的弹性体和轴封膜片设计成一体,使机构更为简化。挠性管结构的显著优势是提高了流量计的耐压性能和密封可靠性,使耐压能力达到25MPa以上。中间环节的减少,消除了力的传递误差,提高了测量精度。不足之处是对应变计的耐温性能要求有所提高,应变计的粘接工艺要求更严格。现在市场上的烟气流量计大多是这种结构。
5.5扭力管烟气流量计
扭力管烟气流量计也是一种力-应变-电压转换型的流量计,其结构如图6所示。其工作过程是:靶力通过杠杆传递到扭力管上,对扭力管产生扭矩作用,引起扭力管扭转变形,导致由四个扭矩应变计组成的电桥失去平衡,产生输出,该输出经电器单元处理,输出与流量相关的电流信号。其调试方式与挠性管烟气流量计相同,只需调整电器单元的两个电位器来完成低点和满量程的设置,同样不需要静压调整装置。

该结构是近的全新结构,其开发目的是解决微小流量、宽量程比、高温和高压的测量要求。根据类似结构的使用经验,其所测靶力可在0.1N到几百N范围,耐压能力可达到42MPa以上。
5.6差压烟气流量计
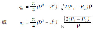
差压烟气流量计的测量原理与其他烟气流量计的测量原理有较大区别,它是通过测量靶片上下游的压力差来测量流体流量的。其计算公式如下:

式中:P1为差压膜盒(靶片)上游的压力,Pa;P2为差压膜盒(靶片)下游的压力,Pa;d为差压膜盒(靶片)直径,m;D为测量管直径,m。
从计算公式的推导过程和公式的形式上可以看出:差压烟气流量计兼有节流装置(差压原理)和烟气流量计(测力)的数学特征。
研究和试验表明:靶片上所受到的力包括流体流动对靶的作用力、流体在靶片上下游流速变化形成的差压作用于靶上的力及流体与靶之间的摩擦力。在差压靶流量计研究推导过程中,前两项都给出了明确的计算公式,因此,式(2)比式(1)包含了更多的影响因素,计算结果也更精确。差压烟气流量计的结构如图7所示。其工作过程是:流体流经差压膜盒(靶片)时,对差压膜盒施以差压作用,该差压传递给电器单元进行处理,输出与流量相关的电流信号。该流量计不需要任何调整,可直接投入使用。

差压烟气流量计是一种全新概念的流量测量仪表,它综合了节流装置和烟气流量计的优点,克服了各自的缺点,具有理论清晰、结构简单、安装维修方便、测量精度高、性能可靠等优点,必将为流量测量行业提供更好的服务。
六、流量计常见故障及处理方法
(流量计带故障自检程序,用户通过显示屏可查知部分原因!)
1、当管道内被测介质流速为低时,流量计示值瞬时流量值不为低,造成该现象的主要原因有:
a、安装前后流量计水平度不一致,以至靶片和靶杆因倾斜而产生轴向水平分力导致瞬时流量存在;
b、流量计长期运行,其传感器内部应力释放产生微变;
c、安装或运行过程中,严重过载造成低点飘移;
以上三种方式均可参照有关流量计清低的步骤和方法处理。
d、流量计壳体接地不良;
处理方法:用户重新接地。
e、靶片、靶杆与测具之间被杂物卡住;
处理方法:关闭流量计前后阀门,用工具松开流量计过度部件与测量管之间的连接螺栓,并轻轻的晃动过渡
部件或取出,清理杂物后照原样复位即可。
2、流量计工作过程中示值出现非正常增大,造成该现象的主要原因有:
a、靶片以及靶杆上挂有丝状及带状杂物;
处理方法:参照处理杂物方法。
b、高结圬条件下,靶片和靶杆产生严重结圬,使受力元件靶板沿测量管轴线上投影面积增加,即靶片与测量管之间环形过流面积减少,进而在相同流量下,传感器受力增大,终导致流量示值非正常增加;
处理方法:取下过渡部件,用工具将靶片和靶杆以及测量管内壁上的圬物清除即可。
计量误差大,造成该现象的原因很多,其主要的原因为以下几种:
a、安装时流量计与连接管道相对同心度出现较大错位,密封垫片未同心,从而形成节流阻件,影响被测介质流态;
处理方法:调整安装状态。
b、流量计前后直管段太短,并于流量计前直接安装了弯头,阀门等干扰被测介质流态部件;
处理方法:按照说明书要求进行安装或对流量计进行实地实流标定。
c、旁通管道泄漏;
处理方法:检查及更换旁通管路。
d、靶片上绕缠有带状杂物,增大了靶片受力;
流量计无示值或无发信号,其原因主要有以下四种:
a、电源接触不良或脱落;
处理方法:对于自带电池的流量计,检查电池是否装稳,触点是否良好,以及电池是否有电。对于外接电源,
应检查连接导线之间连接是否完好,导线是否导通,外供电源是否正常。
b、流量计电路损坏;
处理方法:返厂修理。
c、显示屏损坏;
处理方法:返厂更换。
d、用户信号接收系统故障;
处理方法:检查、排除故障。
流量计运行过程中示值一直为低,此种现象主要原因有:
a、受力元件(靶片)脱落,导致传感器无力感应;
处理方法:装配相同规格的靶片。
b、流量计传感器无电压输出信号;
处理方法: 先判断传感器是否损坏,具体的方法是看传感器数据有无变化。
c、被测介质流量太小,低于流量计的小刻度流量;
处理方法:返厂重新更换受力元件。
当屏幕出现闪烁时表示管道内流量超过设定满量程数据10﹪。

