燃气流量计
发表时间:2024-09-13 15:57:40

燃气流量计的详细资料:
一、概述
燃气流量计是佳美仪表开发的具有国内水平的气体流量仪表。燃气流量计集流量、温度、压力检测功能于一体,并能进行温度、压力、压缩因子自动补偿,是石油、化工、电力、冶金等行业用于气体计量的理想仪表。
1.1产品主要特点
- 无机械可动部件,不易腐蚀,稳定可靠,寿命长,长期运行无须特殊维护;
- 采用16位电脑芯片,集成度高,体积小,性能好,整机功能强;
- 智能型流量计集流量探头、微处理器、压力、温度传感器于一体, 采取内置式组合,使结构更加紧凑,可直接测量流体的流量、压力和温度,并自动实时跟踪补偿和压缩因子修正;
- 采用双检测技术可有效地提高检测信号强度,并抑制由管线振动引起的干扰;
- 采用国内的智能抗震技术,有效的抑制了震动和压力波动造成的干扰信号;
- 采用汉字点阵显示屏,显示位数多,读数直观方便,可直接显示工作状态下的体积流量、标准状态下的体积流量、总量,以及介质压力、温度等参数;
- 采用EEPROM技术,参数设置方便,可保存,并可保存长达一年的历史数据;
- 转换器可输出频率脉冲、4~20mA模拟信号,并具有RS485接口,可直接与微机联网,传输距离可达1.2km;
- 多物理量参数报警输出,可由用户任选其中之一;
- 流量计表头可360度旋转,安装使用简单方便;
- 配合本公司的FM型数据采集器,可通过因特网或者电话网络进行远程数据传输
- 压力、温度信号为传感器输入方式,互换性强;
- 整机功耗低,可用内电池供电,也可外接电源。
1.2主要用途
燃气流量计可广泛应用于石油、化工、电力、冶金、城市供气等行业测量各种气体流量,是目前油田和城市天然气输配计量和贸易计量的可选产品。
二、结构与工作原理
2.1流量计结构
流量计由以下七个基本部件组成(图1):

1.旋涡发生体
用铝合金制成,具有一定角度的螺旋叶片,它固定在壳体收缩段前部,强迫流体产生强烈的漩涡流。
⒉ 壳体
本身带有法兰,并有一定形状的流体通道,根据不同的工作压力,壳体材料可采用铸铝合金或不锈钢。 (图1)
⒊ 智能流量计积算仪(原理见图3)
由温度、压力检测模拟通道、流量检测数字通道以及 微处理单元、液晶驱动电路和其它辅助电路组成,并配有外输信号接口。
4. 温度传感器
以Pt100铂电阻为温度敏感元件,在一定温度范围内,其电阻值与温度成对应关系。
5. 压力传感器
以压阻式扩散硅桥路为敏感元件,其桥臂电阻在外界压力作用下会发生预期变化,因此在一定激励电流作用下,其两个输出端的电位差与外界压力成正比。
6. 压电晶体传感器
安装在靠近壳体扩张段的喉部,可检测出漩涡进动的频率信号。
⒎ 消旋器
固定在壳体出口段,其作用是消除旋涡流,以减小对下游仪表性能的影响。
2.2工作原理
流量传感器的流通剖面类似文丘利管的型线(图2)。在入口侧安放一组螺旋型导流叶片,当流体进入流量传感器时,导流叶片迫使流体产生剧烈的旋涡流。当流体进入扩散段时,旋涡流受到回流的作用,开始作二次旋转,形成陀螺式的涡流进动现象。该进动频率与流量大小成正比,不受流体物理性质和密度的影响,检测元件测得流体二次旋转进动频率就能在较宽的流量范围内获得良好的线性度。信号经前置放大器放大、滤波、整形转换为与流速成正比的脉冲信号,然后再与温度、压力等检测信号一起被送往微处理器进行积算处理,后在液晶显示屏上显示出测量结果(瞬时流量、累积流量及温度、压力数据)。
|
2.3流量积算仪工作原理

图3
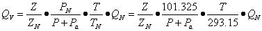
流量积算仪由温度和压力检测模拟通道、流量传感器通道以及微处理器单元组成,并配有外输出信号接口,输出各种信号。流量计中的微处理器按照气态方程进行温压补偿,并自动进行压缩因子修正,气态方程如下:

………………(2)
式中:
QN ——标况下的体积流量(m3/h);
QV ——工况下的体积流量(m3/h;
Pa ——当地大气压力(KPa);
P ——流量计取压孔测量的表压(KPa);
PN ——标准状态下的大气压力(101.325 KPa);
TN ——标准状态下的有效温度(293.15K);
T ——被测流体的有效温度(K);
ZN ——气体在标况下的压缩系数;
Z ——气体在工况下的压缩系数;
注:当用钟罩或负压标定时取ZN/Z=1,对天然气(ZN/Z)1/2=FZ为超压缩因子。按中国石油天然气总公司的标准SY/T6143-1996中的公式计算。
三、主要技术参数与功能
3.1流量计规格、基本参数和性能指标(见表1)
(表1)
公称通径DN(mm) | 类型* | 流量范围 (m3/ h) | 工作压力(MPa) | 精确度等级 | 重复性 |
15 | 1-10 | 1.6 2.5 4.0 6.3 10 16 | 1.0 1.5 | 小于基本误差限正值的1/3 | |
20 | 1.5-15 | ||||
25 | 3.0~30 | ||||
32 | 6.0~60 | ||||
40 | 7.0~70 | ||||
50 | A型 | 12-150 | |||
B型 | 2.5~75 | ||||
65 | A型 | 15-180 | |||
B型 | 10-100 | ||||
80 | A型 | 40~450 | |||
B型 | 10~200 | ||||
100 | A型 | 80-800 | |||
B型 | 30~600 | ||||
150 | A型 | 150-1800 | |||
B型 | 40~900 | ||||
200 | 240-3600 | 1.6;2.5;4.0 |
注: 此流量范围上限可扩大1.5倍,保证正常使用。
1.准确度:为温度、压力修正后的系统精度;
2. A、B用以区别相同通径不同流量范围。
3.2标准状态条件:P=101.325KPa,T=293.15K
3.3使用条件:
环境温度:-30℃~+65℃
相对湿度:5%~95%
介质温度:-20℃~+80℃
大气压力:86KPa~106KPa
3.4电气性能指标
3.4.1工作电源:
A.外电源:+24VDC±15%,纹波<5%,适用于4~20mA输出、脉冲输出、报警输出、RS-485等;
B.内电源:1组3.6V锂电池(ER26500),当电压低于3.0V时,出现欠压指示。
3.4.2整机功耗:
A.外电源:<2W;
B.内电源:平均功耗1mW,可连续使用两年以上。
3.4.3脉冲输出方式:
- 工况脉冲信号,直接将流量传感器检测的工况脉冲信号经光耦隔离放大输出,高电平≥20V,低电平≤1V;
- 定标脉冲信号,与IC卡阀门控制器配套,高电平幅度≥2.8V,低电平幅度≤0.2V, 单位脉冲代表体积量可设定范围:0.001m3~100m3。单选择该值时须注意:定标脉 冲信号频率应≤900Hz。
- 定标脉冲信号,经光耦隔离放大输出,高电平≥20V,低电平≤1V。
3.4.4 RS-485通信(光电隔离),可实现以下功能:
A.采用RS-485接口,可直接与上位机或二次表联网,远传显示介质的温度、压力和经温度、压力补偿后的标准体积流量和标准体积总量;
B.由RS-485接口与HW-Ⅰ数据采集器配套,可组成电话网络通信系统,一台数据采集器可带15台流量计;
C.由RS-485接口与HW-Ⅱ数据采集器配套,可组成宽带网络通信系统,由INTERNET传输数据,一台数据采集器可带8台流量计。
3.4.5 4~20mA标准电流信号(光电隔离)
与标准体积流量成正比,4mA对应0 m3/h, 20 mA对应大标准体积流量(该值可在一级菜单中进行设置),制式:两线制或三线制,流量计可根据所插电流模块自动识别,并正确输出。
3.4.6控制信号输出:
A.下限报警信号(LP):光电隔离,高低电平报警,报警电平可设定,工作电压+12V~+24V,大负载电流50mA;
B.上限报警信号(UP):光电隔离,高低电平报警,报警电平可设定,工作电压+12V~+24V,大负载电流50mA;
C.关阀报警输出(BC端,IC卡控制器用):逻辑门电路输出,正常输出低电平,幅度≤0.2V;报警输出高电平,幅度≥2.8V,负载电阻≥100kΩ;
D.电池欠压报警输出(BL端,IC卡控制器用):逻辑门电路输出,正常输出低电平,幅度≤0.2V;报警输出高电平,幅度≥2.8V,负载电阻≥100kΩ;
3.5实时数据存储功能
3.5.1流量计为了适应数据管理方面的需要,增加了实时数据存储功能,由设定选择以下三者之一:
A.起停记录:近的1200次起停时间、总量、净流量记录。出厂默认项。对应通信协议由公司另外提供);
B.日记录:近920天的日期、低点时刻的温度、压力、标准体积流量和总量记录。
C.定时间间隔记录:1200条定时间间隔的日期时间、温度、压力、标准体积流量和总量记录。
3.5.2通过电脑可读取上述存储数据,形成数据报表、曲线图供分析。
3.6网络通信管理软件功能
流量计与数据采集器配套,可通过电话线或宽带网进行通信,对网络中的每台流量计的历史数据及参数进行读取与设置,同时通信管理软件可实现完善的管理功能。
3.7防爆标志:ExdIIBT4;ExiaIICT4
3.8防护等级:IP65
3.9压力损失
燃气流量计实际压力损失计算公式如下:
…………………(1)

式中:
ΔP1——流量计实际压力损失(KPa);
ρ ——被测介质密度(kg/m3)
ΔP ——介质为干空气时流量计的压力损失(KPa),其特性曲线见下图
3.10接线口:出线接口为M20×1.5内螺纹。
四、燃气流量计选型与安装
4.1流量计选型
在选型过程中应把握两条原则;即:一要保证安全,二要保证使用精度。为此须落实三个选型参数,即近期和远期的大、小及常用流量(主要用于选定仪表公称通径)、被测介质的设计压力(主要用于选定仪表的公称压力等级)、实际工作压力(主要用于选定仪表压力传感器的压力等级)。
a. 当已知被测流量为工况体积流量时,可直接按表中的流量范围选取适配的公称通径;
b. 当已知被测流量为标况条件下的体积流量时,应先将标况体积流量QN换算为工况体积流量Qv,再按技术参数表中的流量范围选取相应的公称通径;
c. 当两种口径流量计均能覆盖低和高体积流量时,在压损允许下,应尽量选小口径;
d.勿使实际小流量Qmin低于所选公称通径流量计的流量下限;
e.流量范围、公称压力有特殊要求时可协议订货。
选型计算公式如下:

式中:T、P、Pa含义同上,Q为体积流量,Qn为标准体积流量,Z/Zn数值列于表2.因计算步长较大,表内数据仅供参考,表中数据按天然气真实相对密度Gr=0.600,氮气和二氧化碳摩尔分数均为0.00计算。当介质压力低于0.1MPa,均可按Z/Zn=1估算。
表2

4.2选型实例:
已知某一供气管线实际工作压力范围为表0.80MPa-1.2MPa,介质温度范围为-10℃~+40℃,供气峰值为标准体积流量2500,供气谷值为标准体积流量5600,天然气之真实相对密度Gr=0.591,氮气摩尔百分含量为Mn=1.6%,二氧化碳摩尔百分含量为Mc=0.8%,当地大气压力为101.3KPa,要求确定流量计之口径。
当介质压力为0.8MPa,温度为40℃,天然气的压缩因子影响小,此时当处于供气峰期时,具有大体积流量;而当介质压力为1.2MPa,温度为-10℃,压缩因子影响大,此时当处于供气谷期时,具有小体积流量。
当Gr=0.591, Mn=1.6%,Mc=0.8%,表压P=0.8MPa,温度T=40℃,按SY/T6143之公式,可求得Zn/Z=1.0127,故高体积流量为

当表压P=1.2MPa,温度T=-10℃时,可求得Zn/Z=1.0355,故小体积流量为:

再由表1查得“流量计口径为200mm。
4.3流量计外形尺寸及安装外形尺寸图
流量计的外形尺寸如图所示,图中未注尺寸列于表1中,流量计采用法兰连接方式,法兰尺寸执行GB/T9112~9113-2000标准。

公称通径 DN(mm) | 公称压力 (MPa) | 外形尺寸(mm) | 表体材质 | 重量 (kg) | ||
表体长度A | 高度H | 不锈钢 | 铝合金 | |||
20(15) | 1.6/2.5/4.0 | 160 | 360 | √ | √ | 6 |
6.3/10/16 | 160 | 365 | √ | 8 | ||
25 | 1.6/2.5/4.0 | 180 | 367 | √ | √ | 7 |
6.3/10/16 | 180 | 378 | √ | 10 | ||
32 | 1.6/2.5/4.0 | 200 | 383 | √ | √ | 9 |
6.3/10/16 | 200 | 402 | √ | 12 | ||
40 | 1.6/2.5/4.0 | 200 | 383 | √ | √ | 9 |
6.3/10/16 | 200 | 402 | √ | 12 | ||
50 | 1.6/2.5/4.0 | 230 | 403 | √ | 11 | |
6.3/10/16 | 230 | 421 | √ | 14 | ||
80 | 1.6 | 330 | 438 | √ | √ | 11 |
2.5/4.0 | 330 | 438 | √ | 18 | ||
6.3/10/16 | 330 | 446 | √ | 21 | ||
100 | 1.6 | 410 | 468 | √ | √ | 14 |
2.5/4.0 | 410 | 475 | √ | 18 | ||
6.3/10/16 | 410 | 483 | √ | 33 | ||
150 | 1.6 | 585 | 542 | √ | √ | 21 |
2.5/4.0 | 585 | 549 | √ | 52 | ||
6.3/10/16 | 585 | 572 | √ | 72 | ||
200 | 1.6 | 700 | 618 | √ | √ | 41 |
2.5 | 700 | 626 | √ | 117 | ||
4.0 | 700 | 634 | √ | 127 | ||
单位:mm
法兰连接尺寸符合下列标准
1.6~4.0MPa(DN25~DN150) GB/T9113.1-2000 1.6、2.5MPa(DN200) GB/T9113.1-2000 4.0MPa(DN200) GB/T9119-2000 6.3MPa(DN25~DN150) GB/T9115.2-20000 |
连接法兰 |
4.4燃气流量计安装
4.4.1流量计的安装
●流量计安装时,严禁在其进出口法兰处直接进行电焊,以免烧坏流量计内部低件。
●对于新安装或检修后的管道务必进行清扫,去除管道中的杂物后方能安装流量计。
●流量计应安装在便于维修、无强电磁场干扰、无强烈机械振动以及热辐射影响的场所;
●流量计不宜用在流量频繁中断和有强烈脉动流或压力脉动的场合;
●流量计室外安装时,上部应有遮盖物,以防雨水浸入和烈日曝晒影响流量计使用寿命;
- 流量计可任意角度安装,流体的流向应与流量计上标识的流向一致;
- 在管道施工中,应考虑安装伸缩管或波纹管,以免对流量计造成严重的拉伸或断裂;
- 流量计应与管道同轴安装,并防止密封片和黄油进入管道内腔;
- 采用外电源时,流量计须有可靠接地,不得与强电系统共用地线,在管道安装或检修时,不得把电焊系统的地线与流量计搭接。
- 为了不影响流体正常输送和便于维护,要求按图4 所示安装旁通管道,并保证前≥3DN、后≥1DN的直管段;

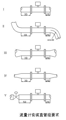
4.4.2直管段要求
根据燃气流量计的工作原理和流量计对上、下游直管段要求,对各种上游阻力件,
说 明 | 图 示 |
保证其上游侧的直管段长度至少为3D,其下游侧的直管段长度至少为2D。示意图见Ⅰ。 (D:燃气流量计的公称通径) |
|
弯管: 对于弯管,要保证其上游侧的直管段长度至少为3D,其下游侧的直管段长度至少为2D。示意图见Ⅱ。 | |
缩管: 对于缩管,要保证其上游侧的直管段长度至少为3D,其下游侧的直管段长度至少为2D。示意图见Ⅲ。 | |
扩管: 对于扩管,要保证其上游侧的直管段长度至少为3D,其下游侧的直管段长度至少为2D。示意图见Ⅳ。 | |
阀门: 如果上游侧有阀门,那么要保证其上游侧的直管段长度至少为5D,其下游侧的直管段长度至少为2D。示意图见Ⅴ。 |
建议采用如下图所列的前后直管段长度,且保持直管段内壁光滑平直。
4.4.3安装注意事项
- 传感器按流向标志可在垂直、水平或任意倾斜位置上安装;
- 当管线较长或距离振动源较近时,应在流量计的上、下游安装支撑,以消除管线振动的影响;
- 传感器的安装地点应有足够的空间,以便于流量计的检查和维修,并应满足流量计的环境要求;
- 应避免外界强磁场的干扰;
- 在室外安装使用时,应有遮盖物,避免烈日曝晒与雨水浸蚀,影响仪表使用寿命;
- 管线试压时,应注意智能型流量计所配置压力传感器的压力测量范围,以免过压损坏压力传感器。
- 应注意安装应力的影响,安装流量计上游和下游管道应同轴,否则会产生剪切应力。安装流量计的位置应考虑密封垫片的厚度,或在下游侧安装一个弹性伸缩节。
- 安装流量计之前应先清除管道中的焊渣等杂物。
- 投入运行时,应缓慢开启流量计上、下游阀门,以免瞬间气流过急而冲坏起旋器。
- 当流量计需要有信号远传时,应严格按“电气性能指标”要求接入外电源(8~24)VDC,严禁在信号输出口直接接入220VAC或380VAC电源;
- 用户不得自行更改防爆系统的接线方式和任意拧动各个输出引线接头;
- 流量计运行时,不允许随意打开后盖改动仪表参数,否则影响流量计的正常工作;
- 定时检查流量计法兰处的泄漏情况。
4.4.4内置电池的使用及更换
●电池电量显示
当电池显示仅剩一格时,要求用户在一个月内更换电池;只显示电池外形符号时,则电池电量已耗尽,须立即更换电池。
●电池的更换方法
打开智能流量积算仪的后盖,松开电池盖板上的三颗螺钉,拔下电池插座,取出电池,换好新电池后重新安装。
4.4.5防爆场所安装要求
- 流量计应有可靠的接地,防爆接地不应与强电系统的保护接地共用。
- 现场测试电源时,不允许使用交流电源接地。
- 在任何情况下,用户不得自行更改防爆电路、元器件和防爆型式。
- 须先切断外接电源再打开转换器盖子。
五、故障现象及排除方法
故障现象 | 可能原因 | 排除方法 |
接通电源后无输出信号 | 1.管道无介质流动或流量低于始动流量; 2.电源与输出线连接不正确; 3.前置放大器损坏(积算仪不计数,瞬时值为“0”); 4.驱动放大器电路损坏(积算仪显数正常)。 | 1.提高介质流量或者换用更小通径的流量计,使其满足流量范围的要求; 2.正确接线; 3.更换前置放大器; 4.更换驱动放大器中损坏的元器件。 |
无流量时流量计有信号输出 | 1.流量计接地不良及强电和其它地线接线受干扰; 2.放大器灵敏度过高或产生自激; 3.供电电源不稳,滤波不良及其它电气干扰。 | 1.正确接好地线,排除干扰; 2.更换前置放大器; 3.修理、更换供电电源,排除干扰。 |
瞬时流量示值显示不稳定 | 1.介质流量不稳; 2.放大器灵敏度过高或过低,有多计、漏计脉冲现象; 3.壳体内有杂物; 4.接地不良; 5.流量低于下限值; 6.后部密封圈伸入管道,形成扰动。 | 1.待流量稳定后再测; 2.更换前置放大器; 3.排除脏物; 4.检查接地线路,使之正常 |
累积流量示值和实际累积量不符 | 1.流量计仪表系数输入不正确; 2.用户正常流量低于或高于选用流量计的正常流量范围; 3.流量计本身超差 | 1.重新标定后输入正确仪表系数; 2.调整管道流量使其正常或选用合适规格的流量计; 3.重新标定。 |
显示不正常 | 转换器按键接触不良或按键锁死。 | 更换显示板。 |
换新电池后 出现死机 | 上电复位电路不正常或振荡电路不起振 | 重装电池(需放电5秒后重装) |
六、包装、运输及贮存
6.1 流量计应装入牢固的木箱内(中、小口径流量计有泡沫保护时可装在纸箱内),不应在箱内自由窜动,搬运时应小心轻放。
6.2 流量计运输贮存条件应符合GB/T 9329-1999《仪器仪表运输 运输贮存基本环境条件及试验方法》要求。
6.3 流量计的贮存应符合以下条件:
●防雨防潮
●不受机械振动或冲击
●温度范围:5℃~40℃
●相对湿度:不大于90%
●环境不含腐蚀性气体
燃气流量计型号编码表
型 号 | 编 码 | 说 明 | ||||||
佳美Y | ……………………………………………… | 燃气流量计 | ||||||
防爆型式 | -B……………………………………… | 隔爆型 | ||||||
功能型式 | Ⅰ…………………………………… Ⅱ…………………………………… | 普通型(可不注) 智能型(带压、温补偿) | ||||||
检测器 | D……………………………… S……………………………… | 单检测(可不注) 双检测 | ||||||
信号输出 | 0…………………………… 1…………………………… 2…………………………… 3…………………………… | 频率脉冲 两线制4~20mA 电流 三线制4~20mA 电流 RS485通讯接口 | ||||||
显示方式 | 1……………………… 2……………………… | 一体型 分离型* | ||||||
公称压力 | -016 ……………… -025 ……………… -040………………… -063………………… | 1.6MPa 2.5MPa 4.0Mpa 6.3MPa | ||||||
公称通径 | -025……………… -032……………… -040……………… -050……………… -080……………… -100……………… -150……………… -200……………… | 25mm 32mm 40mm 50mm 80mm 100mm 150mm 200mm | ||||||




